近日,我校登录入口(软件学院)周建涛教授课题组研究成果“A Neighborhood-Aware Graph Self-Attention Mechanism-based Pre-Training Model for Knowledge Graph Reasoning”被中科院1区TOP期刊、中国计算机学会CCF推荐B类期刊《Information Sciences》正式录用(DOI: 10.1016/j.ins.2023.119473)。
《Information Sciences》是信息管理系统领域的国际顶级期刊,该期刊由荷兰爱思唯尔(Elsevier)出版,主要发表关于智能系统和数据科学等领域的最新研究成果。该期刊2022年最新影响因子8.233,JCR分区Q1,中科院SCI期刊分区中为1区且被认定为信息系统领域的TOP期刊。
论文选题研究基于图神经网络的知识图谱推理模型,是一项理论要求丰富、实践体量大的工作,团队的研究成果可以有效提升知识图谱链接预测任务的精度并以此缓解知识图谱固有的不完整性和稀疏性问题。
知识图谱推理(Knowledge Graph Reasoning, KGR)是一种通过在已有知识的基础上推断新知识以改善知识图谱不完整性和稀疏性问题的有效方法之一。近年来的研究表明基于图神经网络(Graph Neural Network,GNN)的KGR方法可以获得最优的预测结果。然而,该类方法仍然存在图特征获取不足、引入噪声、忽略路径连通性以及获取邻域信息不完整等问题。基于此,论文提出一种基于邻域感知(Neighborhood- Aware,NA)图自注意力机制的KGR预训练模型NA-KGR(如图1所示)。该模型分为两个阶段:第一阶段是增强的图注意力网络,可以使用其邻居的加权特征来表示和编码最有可能对推理产生积极影响的实体;第二阶段是邻域感知自注意力机制,通过在计算注意分数时增加自适应实体相似度矩阵,可以使模型更有效地从邻域实体中获取信息进行推理。

图1 NA-KGR模型整体架构图
此外,为了提高NA-KGR模型的可扩展性和泛化能力,论文提出一种结合基于路径连通系数的邻域感知随机游走采样方法(如图2所示)和基础子图结构感知采样方法(如图3所示)的预训练模式,使模型在低维和高维知识图谱下均能获得更优的训练效果。

图2 邻域感知随机游走采样方法

图3 基础子图结构感知采样方法
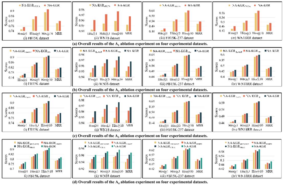
最后,在链接预测任务中进行的大量对比(如表1所示)和消融实验(如图4所示)清晰地表明论文所提出的NA-KGR模型能够获得当前基于GNN方法的最优结果。
表1 在实验数据集下同各类基线进行比较得到的平均改进百分比结果


图4 实验数据集下消融实验总体结果
我校登录入口(软件学院)周建涛教授为该论文的通讯作者,登录入口(软件学院)2021级博士研究生武月佳为第一作者,登录入口为唯一完成单位。
论文链接:
https://www.sciencedirect.com/science/article/abs/pii/S0020025523010587

周建涛教授(前排正中)与博士生武月佳(前排右一)等